High Low AVG
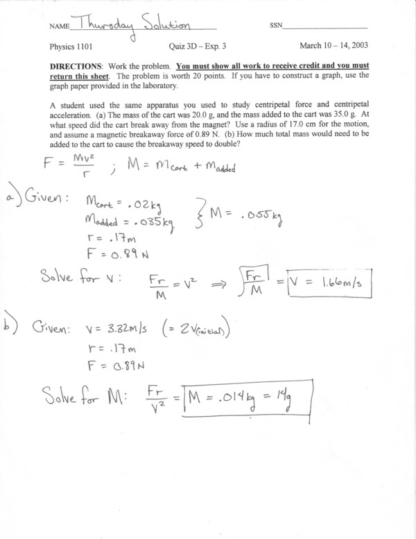
Thursday